Przejdź do treści

Partner serwisu
Saxo Bank

Kategorie

Elon Musk coraz bliżej przejęcia platformy Twitter. Właściciel Tesli może srogo za nią przepłacić

Udostępnij

Elon Musk ma pomysł na Twittera – chce z niego zrobić „appkę do wszystkiego”, na wzór chińskiego WeChat. Przez to jest w stanie mocno przepłacić za tą platformę social media.


Prawdopodobnie nadchodzi finalizacja przejęcia Twittera przez Elona Muska. Amerykańskie media informują, że Twitter zawiesił rachunki maklerskie pracowników, co może być sygnałem nadchodzącej transakcji. Jest to normalna praktyka w USA, mająca zapobiegać insider tradingowi.

Elon Musk chce zrobić z Twittera „appkę do wszystkiego”

Czyżby wszystkie przeszkody stojące na drodze do transakcji zostały usunięte? Przypomnijmy, że Musk chce zapłacić 54,20 USD za akcję, czyli w sumie 44 mld USD. Jednak od początku złożenia oferty w połowie kwietnia 2022, pojawiają się różnego rodzaju problemy.

Najpierw Elon Musk rządał oczyszczenia platformy z botów i w ten sposób zasiał ziarno niezgody. Ostatnie tygodnie przyniosły natomiast informację, że właściciel Tesli trafił pod lupę śledczych w związku ze złożeniem oferty na zakup Twittera. Ta informacja pojawiła się w oficjalnym raporcie Twittera na początku października. Twitter informował, że w śledztwo włączone są Securities and Exchange Commission oraz Federal Trade Commission. Jednak prawnik Muska Alex Spiro powiedział serwisowi Bloomberg, że to zarząd Twittera jest obiektem zainteresowania śledczych.

Elon Musk chce kupić Twittera by – jak sam przyznał – zmienić go w Everything App, czyli aplikację służącą do niemal wszystkiego. Szacuje on, że generalna przebudowa Twittera zajęłaby mu 3-5 lat. Eksperci uważają, że wzorowałby się on na chińskiej appce WeChat, która jest nie tylko komunikatorem i platformą social media, ale również appką finansową i zakupową.

Przypomnijmy, że plany Muska nie spodobały się akcjonariuszom Tesli. Zaczęli oni wyprzedawać akcje koncernu samochodowego, gdyż stwierdzili, że Musk po przejęciu Twittera nie będzie poświęcał 100% uwagi na rozwój producenta aut elektrycznych. Od 14 kwietnia, gdy Musk złożył propozycję przejęcia Twittera, wycena Tesli spadła o -33%, a Twittera poszła w górę o 15%.

 

Notowania Tesli i Twittera od 14 kwietnia 2022

Notowania Tesli i Twittera od 14 kwietnia 2022
Źródło: TradingView

 

Ciekawostką jest, że w ciągu ostatnich miesięcy słynny inwestor Carl Icahn skupił akcje Twittera za około 500 mln USD, płacąc średnio 35 USD za walor. W akcjonariacie są także D.E. Shaw Group, słynny inwestor w wartość David Einhorn (za pośrednictwem Greenlight Capital) oraz Daniel Loeb (poprzez Third Point).

Cathie Wood ma duże problemy, notowania ARK Innovation ETF wróciły do pandemicznego dołka

Czy Musk przepłaca za Twittera

Musk musi chyba mocno wierzyć w swój koncept stworzenia z Twittera „appki do wszystkiego”, gdyż chce mocno przepłacić. Jak zwracają uwagę analitycy, w połowie kwietnia 2022 roku nie wiadomo było jeszcze wielu rzeczy, które wiemy dziś, np. że nadciąga ciężka recesja. Oraz że inflacja może pozostać wysoka jeszcze przez długi czas, co oznacza kontynuowanie cyklu podwyżek stóp, co wpływa negatywnie na wyceny spółek technologicznych.

Poza tym, płacąc 44 mld USD za Twittera, Musk zapłaci 8-krotność przychodów platformy w następnych 12 miesiącach. Tymczasem porównywalne spółki wyceniane są na 3-krotność przychodów (Meta) czy 3,6-krotność (Snap). Jeszcze inaczej patrząc: powinien zapłacić 24 USD za akcję Twittera, gdyby chciał dokonać jego wyceny porównując jego wskaźnik C/S (7,6) do wskaźników spółek Meta (3,0) i Snap (4,0). Można więc stwierdzić, patrząc się tylko na wskaźniki, że Musk chce przepłacić aż o około 50%.

 

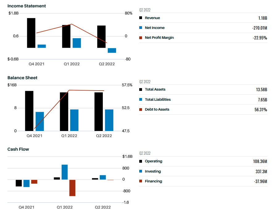
Wyniki finansowe Twittera w ujęciu kwartalnym

Wyniki finansowe Twittera w ujęciu kwartalnym
Źródło: Barron’s

 

Wskaźniki finansowe - Twitter

Wskaźniki finansowe - Twitter
Źródło: finviz.com

 

Rekomendacje dla Twittera w II połowie 2022

Rekomendacje dla Twittera w II połowie 2022
Źródło: finviz.com

 

Nastał czas aktywnej selekcji spółek do portfela – przekonuje Bill Nygren

Udostępnij