Unia Europejska odpowiada na cła Donalda Trumpa
Donald Trump znów wprowadza zamieszanie na światowych rynkach. Tym razem chodzi o jego najnowszy pomysł: taryfy wzajemnościowe. Zasada jest prosta jak linijka, choć efekty mogą być znacznie bardziej skomplikowane.
Konserwatywne media podbijają Wall Street. Debiut Newsmax przyniósł ogromne zyski
Matematyka po trumpowsku
Gdy prezydent USA ogłosił nowe taryfy, niektórzy obserwatorzy przecierali oczy ze zdumienia. Czemu Wietnam, który Waszyngton stara się wspierać jako alternatywę dla Chin, dostał jeden z najwyższych podatków na eksport? Dlaczego Japonia, kluczowy sojusznik USA, musi płacić 24%? Nawet Izrael, który obniżył taryfy na amerykańskie towary do zera, nie uniknął 17-procentowej daniny.
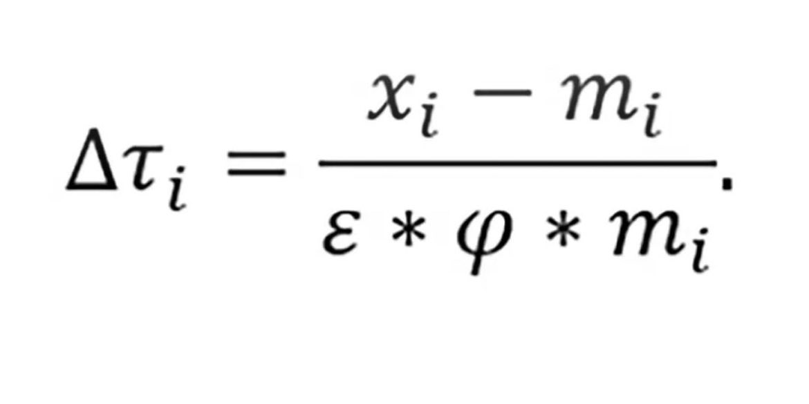
Wzór:
Jak się okazuje, wzór na wyliczenie taryf jest zadziwiająco prosty: wartość eksportu do USA dzielona przez saldo handlowe danego kraju, a następnie dzielona przez dwa. Wynik nie może być niższy niż 10%. Ekonomiści nazwali to "cennikiem pisanym na kolanie", ale Trump i jego doradcy wydają się być zadowoleni z efektu.
Co ciekawe, model ten zakłada kilka dodatkowych założeń:
- Ceny importowanych towarów mają elastyczność popytu wynoszącą 4, co oznacza, że 1% wzrostu ceny powoduje 4% spadek zapotrzebowania.
- Każdy 1% wzrostu taryf prowadzi do wzrostu cen importowanych towarów o 0,25%.
Oznacza to, że przy nowej średniej stawce taryfowej wynoszącej 22%, ceny importowanych towarów w USA mogą wzrosnąć o 5%.
Trump grozi cłami na rosyjską ropę. Fikołek "odwróconego Nixona"
Globalna reakcja: od przerażenia po ulgę
Nie wszyscy jednak podzielają entuzjazm Białego Domu. Unia Europejska, która została obciążona 20-procentowym cłem, wyraziła obawy, że nowy system zaszkodzi globalnej gospodarce i spotęguje niepewność. "Najgorsze jest to, że w tym chaosie nie ma porządku" – powiedziała przewodnicząca Komisji Europejskiej Ursula von der Leyen.
Z kolei Wielka Brytania, która dostała minimalne 10%, zareagowała z umiarkowaną ulgą. "Jesteśmy w lepszej sytuacji niż większość krajów" – przyznał brytyjski minister biznesu Jonathan Reynolds. Brytyjczycy liczyli jednak na uniknięcie taryf, zwłaszcza że USA miały nadwyżkę handlową w relacji z nimi w czwartym kwartale ubiegłego roku.
Najostrzejsza reakcja przyszła z Pekinu. Chiny nie tylko zażądały natychmiastowego zniesienia ceł, ale zapowiedziały odwet. "To unilateralne zastraszanie" – skomentowało chińskie Ministerstwo Handlu. Jak zawsze w takich sytuacjach, analitycy zastanawiają się, co Chiny zrobią dalej – i jak wpłynie to na globalne łańcuchy dostaw.
Cios dla gospodarki czy strategia długoterminowa?
Ekonomiści nie mają wątpliwości: podwyższenie taryf to potężny cios dla światowej gospodarki. Maurice Obstfeld, były główny ekonomista MFW, nazwał decyzję Trumpa "wojną przeciwko globalnej ekonomii".
Szacunki mówią, że nowy system taryfowy może podnieść średnie ceny importowanych towarów w USA o 5%, a amerykańskie gospodarstwa domowe mogą stracić rocznie około 1350 dolarów. Dodatkowo, ekonomiści ING zwracają uwagę, że Europa znajduje się w szczególnie trudnym położeniu, a wzrost taryf może zwiastować długotrwałe spowolnienie gospodarcze.
Nieco innego zdania jest administracja Trumpa. Według jej kalkulacji, wzrost dochodów z ceł (szacowany na 500 miliardów dolarów) pozwoli na finansowanie cięć podatkowych i stymulowanie krajowej produkcji. To strategia, która, zdaniem doradców prezydenta, w długim terminie przyczyni się do wzrostu gospodarczego.
Jednak ekonomiści ostrzegają, że jeśli dochody z ceł zostaną wykorzystane na redukcję deficytu budżetowego zamiast obniżeń podatków, to gospodarka może nie uniknąć recesji.
Tyle teoria. W praktyce, firmy i konsumenci mogą wkrótce odczuć wyższe ceny na własnej skórze. A jeśli inne kraje zdecydują się na odwet, Trump może odkryć, że ekonomia to jednak nie takie proste rachunki.

